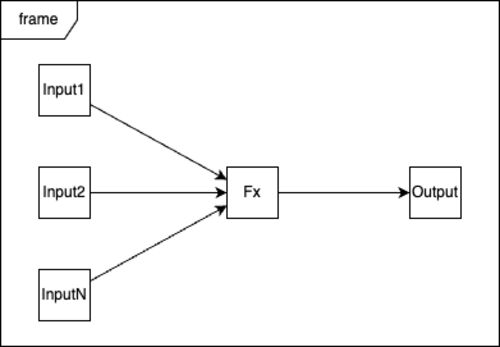
私は中途半端に関数型言語を学んでいるところなのですが、それでもオブジェクト型言語とは異なるメリットを感じることがよくあります。 今日はその中の一つとして、「関数型言語で関数を作るとテストが作りやすい」という話をしていこうと思います。 なぜテ…
プライバシーポリシー・免責事項
引用をストックしました
引用するにはまずログインしてください
引用をストックできませんでした。再度お試しください
限定公開記事のため引用できません。